Ascorbyl Tetraisopalmitate
INCI Name: Ascorbyl Tetraisopalmitate
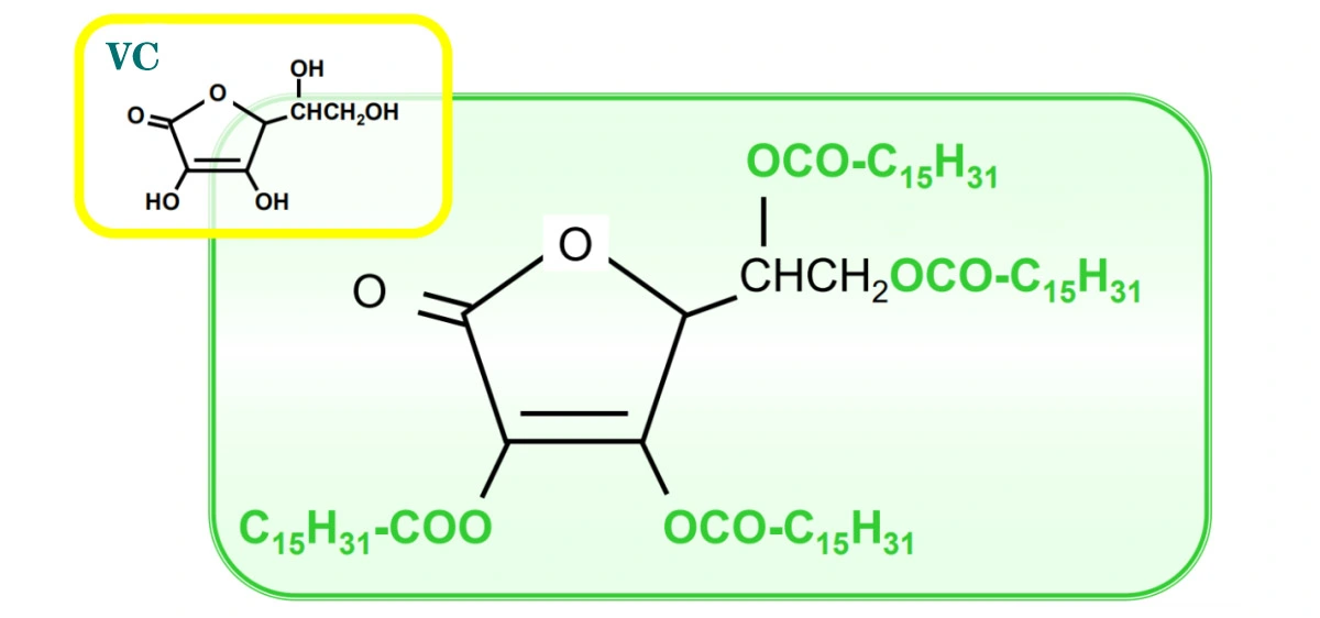
Other name: Tetrahexyldecyl Ascorbate
CAS: 183476-82-6
Standard: Cosmetic Grade
Solubleness: Water
Appearance: Colorless to light yellow liquid
MOQ: 1Kg
Stock: 600 Kg
Ship Time: Within 2~3 working days after you order
Payment Way: Bank Transfer, TT, Western Union, Paypal and so on.
- Fast Delievery
- Quality Assurance
- 24/7 Customer Service
Product Introduction
VC IP Ascorbyl Tetraisopalmitate VCIP is a kind of Vitamin C derivatives that soluble in oil. Vitamin C has many functions as a cosmetic ingredient, including brightening the skin, promoting collagen synthesis and inhibiting lipid peroxidation. However, vitamin C is easily oxidized and discolored, so it is difficult to use in cosmetics. As a result, more stable derivatives have been developed. We researcherd water-soluble VC derivatives, such as Vitamin C ethyl ether, vitamin C phosphate magnesium, vitamin C phosphate sodium.
It is stable at high temperatures and has good solubility in oil. Tetrahexyldecyl Ascorbate shows excellent transdermal absorption and is broken down into free vitamin C in the skin for physiological functions. LeeWhiteTM VCT can be widely used in all kinds of skin care, beauty and other cosmetics.

XI AN CHEN LANG BIO TECH is a high-tech enterprise integrating R&D, production and sales. Our product types cover cosmetic raw materials, pharmaceutical intermediates, plant extract powder and customized products. We have strong technical force, advanced production equipment and excellent technical personnel, about cosmetic raw materials, you can choose us with confidence. We supply high quality and best price VCIP in global market.

What Characters of LeeWhiteTM VCT?
★It has very good solubleness in cosmetic oil;
★It has similar activity as SOD;
★It is stable to heat and oxidation;
★It has the effect of cell regeneration;
★It helps collagen synthesis and collagen protection (anti-aging);
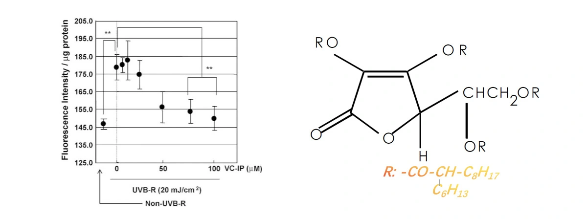
★It reduces cell/DNA damage caused by UV (anti-UV/anti-stress).
Why Choose Us as Your Ascorbyl Tetraisopalmitate Supplier
★We are a high-tech enterprise integrating R&D, production and sales. The product types cover cosmetic raw materials, pharmaceutical intermediates and customized products. Our products types cover cosmetic raw materials, pharmaceutical intermediates and customized products. The company has strong technical force, advanced production equipment and professional technicians, and has established cooperative laboratories with many universities, which can quickly open up, optimize product technology and carry out commercial production. Now we have skin whitening skin lightening and anti-aging powder: Sodium Methylesculetin Acetate, Dimethylmethoxy Chromanyl Palmitate, arbutin, Magnolol 98%, Copper Peptide and so on.
●Our factory is located in Han Cheng City, Shaanxi Province, covering a total area of 1,600 square meters. Our company has successively passed BRC system certification, cGMP system certification, national labortory (CNAS) certification,ISO9001, ISO22000, ISO14001 and so on. Our products are exported to Europe, North America, South America, Russia, Australia, New Zealand, Southeast Asia and more than 50 countries. Please send inquiry to Email: admin@chenlangbio.com if you want to buy ascorbyl tetraisopalmitate VC IP for skin.

●We supply free sample for test if you need to order cosmetics materials.

Certificate of Analysis Of VCIP
|
Tests |
Specifications |
Results |
|
Appearance |
Clear Colourless Sticky |
Conforms |
|
Assay ascorbyl tetraisopalmitate |
≥95 % |
98.1% |
|
Product smell |
Slight characteristic odor |
Conforms |
|
proportion |
0.930-0.943 |
0.932 |
|
Refractive index |
1.459-1.465 |
1.464 |
|
Heavy metal |
≤10ppm |
Conforms |
|
arsenic |
≤3ppm |
Conforms |
|
Escherichia coli |
Negative |
Negative |
|
Total number of bacteria |
≤100cfu/g |
Conforms |
|
Yeast, mold |
≤100cfu/g |
Conforms |
|
Conclusion |
IT meets the requirements of Specifications |
|
Ascorbyl Tetraisopalmitate in Skin Care Benefits
●VCIP Vitamin C has excellent transdermal absorption;
●It can inhibit tyrosinase activity and melanin production in cells;
●Ascorbyl Tetraisopalmitate can increases UV protection, helping to reduce sun damage;
●It fights free radicals that cause premature ageing;
●It boosts collagen production, keeping skin firm.
Ascorbyl Tetraisopalmitate for Skin Whitening
VC-IP can inhibit the activity of tyrosinase and slows down the conversion rate of tyrosine, thereby reducing the production of melanin.
VC-IP also has very strong antioxidant properties, which can convert already formed melanin into melanin precursors, making the skin whiter and tenderer, and removing dullness and yellowing of the skin.
How to Use it
We should start from the source of melanin production, transportation, and metabolism, it is paired with other pathway whitening ingredients such as nicotinamide to synergize and achieve skin whitening effects.
VC-IP is soluble in most oils (whether polar or non-polar), except polyols (such as glycerol, propylene glycol, butylene glycol).
The designed pH value of the formula (in the water phase) should not exceed 6.
Although VC-IP has good oil solubility, its stability is affected by pH value.
We advise to use chelating agents and antioxidants (tocopherol) in the formula to effectively prevent discoloration.
Is Tetrahexyldecyl Ascorbate Liquid Safe?
Unlike L-Ascorbic acid, Ascorbyl Tetraisopalmitate will not exfoliate or irritate the skin. It is well tolerated by even the most sensitive skin types. Also unlike regular Vitamin C , it can be used in high doses, and for up to eighteen months without oxidizing.
Packaging and Transportation
Our cosmetics products keep in cool and dry place. 25Kg/Paper drum, and 1Kg/Aluminum foil bag.
We will ship the package within 2~3 working days after you order, and more than 500 Kg, we can discuss the date of delivery.

Inner double plastic bags--25kg/Fiber drum (35*35*53cm, GW: 28kg, NW: 25kg, 0.06CBM);
Inner double plastic bags--5kg/Aluminum foil bag (GW: 6.0kg, NW: 5kg);
Inner double plastic bags--1kg/Aluminum foil bag (GW: 1.3kg, NW: 1kg).
Export: From Shanghai, Shenzhen, Hongkong.
Where to Buy VC-IP
With GMP standards, Our company is equipped with a 100,000-level clean workshop and an independent R&D application center. We cooperate with many well-known scientific research institutions. We are pharmaceutical service company integrating R&D, production and sales. We specialize in skin whitening, anti-aging, repair and anti-corrosion cosmetics raw materials.

With increasing demand for skincare products powder, ascorbyl tetraisopalmitate is an excellent addition to your product line.

Contact us today for VCIP inquiries, quotations, or sample requests:
Email: admin@chenlangbio.com
Phone: +86-17782478823









